《空气动力学实验》
D2圆柱压强分布测量实验
1 实验内容与目的:
实验内容与目的:
测量光滑圆柱周向压强分布规律
研究雷诺数对压强分布的影响
学习使用压强分布计算圆柱阻力的方法
2原理:(原理详见本文所附PDF文件)
2.1 形状阻力和总阻力
模型受到的气动阻力主要由两部分组成:压差产生的形状阻力和流体粘性相关的摩阻。对于圆柱这类包括较大表面曲度变化的模型来说,形阻是阻力的主要部分。
形状阻力通过对模型表面的压强在表面上作用力的水平分量进行积分获得
2.2 压强分布和形状阻力
如果通过实验方法获得压强分布图,即可通过积分估算压差产生阻力。在实际生产中, 比如在某些风洞中(例如在二维风洞中,模型紧夹在两壁间,不便于装置天平),技术人员使用压强分布图来间接推算出作用在机翼上的升力或力矩。通常,测压实验在模型表面均布多个测压孔,每个测压孔连接到一个独立的压强传感器上。传感器测量值以通常压强分布都以表示。

图 1 形状阻力与压强分布关系示意图,来流自右向左,产生阻力为x的反方向,为负值
2.3 曲面上的欧拉方程

图 2 沿微团运动曲线上的欧拉方程原理示意图
3 实验仪器:
本次实验使用的主要设备包括:
WT03实验风洞
航华WT03风洞是专门为空气动力学、流体力学实验课程设计的小型桌面风洞。风洞为直流闭口式(埃菲尔式)。入口设钟型收口、整流蜂窝、两层整流网(见图1)。收缩段收缩面积比4:1。实验段两侧壁可开启,方便使用。WT03风洞湍流度低、稳定性好,不仅可以满足低速空气动力学、流体力学教学需求,可用于圆柱扰流、背向台阶、烟线流场显示、PIV流场测量、翼型升阻力测量、飞行器模型动稳定测试等试验。
PSU16电子压力扫描阀
航华PSU16电子压力扫描阀是一款专门为科研与教学设计的压差测量设备。具有精度高、可靠、使用方便等特点。其内置16支高精度压差传感器与一块数据采集卡,通过数据采集卡进行同步采样的方式“电子扫描”传感器的模拟电压输出获取压差信息。主要功能包括:
a)测量模型表面压强分布
b)与毕托管配合测量流动速度大小
c)与多孔气动探针配合测量流速及方向
d)用于测量风洞实验段前后压差进而计算风洞实验风速
实验模型
圆柱模块CM2模型构造如下:直径3厘米,表面光滑。共16个测压孔,在圆柱中间(展向中间)表面均匀布设,测压孔直径0.5毫米,间距24o。测压孔通过硅胶软管与PSU16压强扫描阀相连。各测压孔与压力计都编有号码。通过使用数据采集卡以及控制程序可读取各测点的压强。测压孔编号见附件C。
4 准备工作

图 3 PSU16数据采集卡测压管连接方法。电子压力扫描阀测压口与模型测压口的连接关系,见附录C
4. 准备工作
准备工作包括如下几个关键步骤:
4.1风洞测压管:将DAQ16数据采集卡内置压力传感器两端连接在风洞收缩段两侧的测压管上;收缩段前的测压管为高压,连接在压力传感器(H)接口,收缩段后的测压管为低压,接(L)接口(见附录B );
4.2安装模型:参照附录C安装模型
连接PSU16电子压力扫描阀测压管:扫描阀测压管的连接在附录C内有详述,基本过程包括
首先连接PSU电源
然后依次将模型各个测压孔与PSU
连接PSU16电源。电源联通后扫描阀自动开机。请预热1小时以上,(最好2个小时以上,如果条件允许)降低温漂误差。
4.3风洞电源
连接风洞变频器电源;连接DAQ16数采仪电源线,打开数采仪开关。
4.4数据线
连接DAQ16数采仪数据线(TypeC-USB)到电脑USB插口(见附录B)。连接后,检查电脑“设备管理器”下是否正确出现“NI Data Acquisition Devices”。点击“NI Data Acquisition Devices”后,是否正确出现“USB-6211”(见附录B)
连接PSU16电子压力扫描阀到电脑USB插口(见附录B)。连接后,检查电脑“设备管理器”下是否正确出现“NI Data Acquisition Devices”。点击“NI Data Acquisition Devices”后,是否正确出现“USB-6210”
将航华TS02温度传感器连入DAQ16数采仪背板温度传感器插孔(见附录B)
4.5设置变频器
参照附录A设置变频器。其中P003参数为2
4.6运行计算机软件
参照附录D运行风洞控制软件。
参照PSU16说明书运行PSU16电子压力扫描阀控制软件。
在两个软件上选择对应的Dev号,每个设备号在第一次接入电脑时自动分配,建议通过插拔设备并观察Dev选单提供的选择来判断具体的设备号
5 实验过程:
保持风速为0,通过扫描阀控制软件对扫描阀归零;通过风洞控制软件对风洞传感器归零;
在风洞控制软件上设置输出功率为0.2 (附录D),点击 运行风洞,点击 开始采集,记录来流速度,
PSU16电子压力扫描阀控制软件“项目名称”填入名称,然后点击“开始采集”,软件记录扫描阀输出,形成数据文件。
改变风速(在风洞控制软件上设置不同的输出功率),重复实验;
利用MATLAB对数据行处理,分析压强系数与雷诺数ReD的关系;
6. 典型实验数据
圆柱直径:0.03m;风机输出: 0.1;风速:1.7 m/s; 温度 25 °C
测点 | 角度,° | 压强,Pa | Cp | ||||
1 | -192 | -1.0 | -0.58 | ||||
2 | -168 | -1.0 | -0.63 | ||||
3 | -144 | -1.1 | -0.67 | ||||
4 | -120 | -1.1 | -0.67 | ||||
5 | -96 | -1.2 | -0.71 | ||||
6 | -72 | -1.4 | -0.83 | ||||
7 | -48 | -0.1 | -0.04 | ||||
8 | -24 | 1.1 | 0.65 | ||||
9 | 0 | 1.8 | 1.08 | ||||
10 | 24 | 0.6 | 0.33 | ||||
11 | 48 | -0.7 | -0.45 | ||||
12 | 72 | -1.5 | -0.88 | ||||
13 | 96 | -1.0 | -0.61 | ||||
14 | 120 | -1.0 | -0.61 | ||||
15 | 144 | -1.0 | -0.62 | ||||
16 | 168 | -0.9 | -0.52 |
上面这组数据的压强分布见下图。只有前方±45°范围内的压强是正压,之后皆为负压。

图 4 风速为1.5m/s条件下圆柱压强分布图
圆柱直径:0.03m;风机输出: 0.3;风速:5.7 m/s; 温度 25 °C
测点 | 角度,° | 压强,Pa | Cp | ||||
1 | -192 | -14.7 | -0.76 | ||||
2 | -168 | -14.8 | -0.76 | ||||
3 | -144 | -14.9 | -0.76 | ||||
4 | -120 | -14.5 | -0.75 | ||||
5 | -96 | -15.0 | -0.77 | ||||
6 | -72 | -18.6 | -0.96 | ||||
7 | -48 | -3.6 | -0.19 | ||||
8 | -24 | 14.3 | 0.73 | ||||
9 | 0 | 19.5 | 1.01 | ||||
10 | 24 | 8.1 | 0.42 | ||||
11 | 48 | -11.2 | -0.58 | ||||
12 | 72 | -18.9 | -0.97 | ||||
13 | 96 | -14.5 | -0.75 | ||||
14 | 120 | -14.7 | -0.76 | ||||
15 | 144 | -14.9 | -0.77 | ||||
16 | 168 | -14.6 | -0.75 |
圆柱直径:0.03m;风机输出: 0.5;风速:9.8 m/s; 温度 25 °C
测点 | 角度,° | 压强,Pa | Cp | ||||
1 | -192 | -46.9 | -0.82 | ||||
2 | -168 | -47.3 | -0.83 | ||||
3 | -144 | -46.9 | -0.82 | ||||
4 | -120 | -45.6 | -0.80 | ||||
5 | -96 | -46.2 | -0.81 | ||||
6 | -72 | -57.1 | -1.00 | ||||
7 | -48 | -12.3 | -0.22 | ||||
8 | -24 | 41.7 | 0.73 | ||||
9 | 0 | 57.0 | 1.00 | ||||
10 | 24 | 23.9 | 0.42 | ||||
11 | 48 | -34.4 | -0.60 | ||||
12 | 72 | -57.7 | -1.01 | ||||
13 | 96 | -45.4 | -0.79 | ||||
14 | 120 | -46.1 | -0.81 | ||||
15 | 144 | -47.1 | -0.82 | ||||
16 | 168 | -46.8 | -0.82 |
圆柱直径:0.03m;风机输出: 0.7;风速:13.7 m/s; 温度 25 °C
测点 | 角度,° | 压强,Pa | Cp | ||||
1 | -192 | -101.1 | -0.90 | ||||
2 | -168 | -102.3 | -0.92 | ||||
3 | -144 | -101.1 | -0.90 | ||||
4 | -120 | -98.4 | -0.88 | ||||
5 | -96 | -98.5 | -0.88 | ||||
6 | -72 | -119.7 | -1.07 | ||||
7 | -48 | -28.4 | -0.25 | ||||
8 | -24 | 80.9 | 0.72 | ||||
9 | 0 | 111.9 | 1.00 | ||||
10 | 24 | 46.3 | 0.41 | ||||
11 | 48 | -71.6 | -0.64 | ||||
12 | 72 | -121.3 | -1.09 | ||||
13 | 96 | -97.3 | -0.87 | ||||
14 | 120 | -99.4 | -0.89 | ||||
15 | 144 | -101.6 | -0.91 | ||||
16 | 168 | -101.2 | -0.91 |
圆柱直径:0.03m;风机输出: 0.9;风速:17.6 m/s; 温度 25 °C
测点 | 角度,° | 压强,Pa | Cp | ||||
1 | -192 | -186.6 | -1.01 | ||||
2 | -168 | -187.5 | -1.02 | ||||
3 | -144 | -186.2 | -1.01 | ||||
4 | -120 | -182.8 | -0.99 | ||||
5 | -96 | -182.4 | -0.99 | ||||
6 | -72 | -218.4 | -1.18 | ||||
7 | -48 | -58.8 | -0.32 | ||||
8 | -24 | 131.8 | 0.71 | ||||
9 | 0 | 185.7 | 1.01 | ||||
10 | 24 | 72.3 | 0.39 | ||||
11 | 48 | -133.5 | -0.72 | ||||
12 | 72 | -222.1 | -1.20 | ||||
13 | 96 | -181.5 | -0.98 | ||||
14 | 120 | -184.7 | -1.00 | ||||
15 | 144 | -187.3 | -1.02 | ||||
16 | 168 | -187.3 | -1.01 |
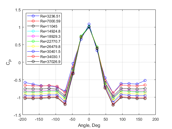
7 压强分布分析及图表绘制程序
close all
clear all
d=0.03; %diameter, m
dir={'Press_cylinderpower'};
mycolor=['brkcmgybrkcmgy'];
T=25; %Temperature, Celcius
U=load('cylinderU.txt');
Re=U*d/nu(T);
an=([1:1:16]-9)*24; %angle of each tap
f1=figure,
for i=[1:1:10]
data=load([dir{1} '' num2str(i) '.txt']);
P=mean(data);
Cp(:,i)=P'/(0.5*air_den(T)*U(i)^2);
figure(f1),%errorbar(Re, Cd, err,['o-' mycolor(j)]); hold on
plot(an, Cp(:,i),['o-' mycolor(i)]); hold on
end
legend(['Re=' num2str(Re(1),6)],['Re=' num2str(Re(2),6)],['Re=' num2str(Re(3),6)],['Re=' num2str(Re(4),6)],['Re=' num2str(Re(5),6)],['Re=' num2str(Re(6),6)],['Re=' num2str(Re(7),6)],['Re=' num2str(Re(8),6)],['Re=' num2str(Re(9),6)],['Re=' num2str(Re(10),6)],'Theory, C_l=2\pi\alpha','Location','Northwest')
grid on;
xlabel('Angle, Deg')
ylabel('C_P')

图 5 不同雷诺数下,圆柱表面压强系数分布图
8. 圆柱阻力计算程序
这部分程序可独立执行,不需要先执行第8小节给出的程序
close all
clear all
dir={'Press_cylinderpower'};
mycolor=['brkcmgybrkcmgy'];
T=25; %Temperature, Celcius
U=load('cylinderU.txt');
N=16; %number of taps
d_a=360/(N-1); %angle between two adjacent tap, in Degree
an=([1:1:16]-9)*d_a; %angle of each tap, in Degree
An=d2r(an); %angle of each tap, in Radian
L=0.245; %length of the model, spanwise, m
R=0.015; %radius of cylidner, m
d=2*R;
A=d*L;
dA=3.14*d*L/(N-1);
Re=U*d/nu(T);
for i=[1:1:10]
data=load([dir{1} '' num2str(i) '.txt']);
P=mean(data);
dF=-P*dA.*cos(An);
D(i)=sum(dF);
Cd(i)= D(i)/(0.5*air_den(T)*U(i)^2)/A;
end
f1=figure,
plot(Re, abs(Cd),['o-']); hold on
grid on;
xlabel('Reynolds number')
ylabel('C_d')
set(gca,'ylim',[0 1.5])

图 6 不同雷诺数下圆柱阻力分布图
附录A:变频器设置方法
将插头插入220V插座内。风机最大电流10A,插座需要接地,以免漏电。推荐使用带开关插座。

附录B数采仪、扫描阀的连线


图 7 DAQ16数采仪内置压强传感器连接图片

图 8 正确安装DAQmx驱动后,DAQ16数采仪设备显示在设备管理器中
图 9 电子压力扫描阀的电源与数据线连接方法示意图
附录C模型及安装方法
本次实验使用航华CM2圆柱模型,照片见图10c。该模型一侧设有螺纹,用于安装模型。该模型长度为L=245mm(黑色部分,不包括螺纹部分),直径为D=30mm。。在圆柱中部(就展向而言的中部)沿轴向相同距离设有16个测压孔,两个相邻测压孔间距24o。测压孔通过内部通道与模型一侧的16个测压管相连。测压管的布置和编号见图10a,每个测压管对应测压孔位置见图10b。

图 10 航华CM2圆柱模型测压孔编号与测压管编号示意图。安装后如果a图中6,5,4孔连线平行于顶板且在最上方,9号测压孔正对来流。如果连线平行且在最下方(11,12,14,15在最上),则1号测压孔正对来流
实验准备中首先安装圆柱模型(CM2)。安装后的模型图片见图11。模型有螺纹一段穿过侧板上的圆孔,穿过后通过螺母固定。固定后,模型6,5,4号测压管需在最上面,且三测压管连线需与风洞顶板平行,这样9号测压孔将正对来流。

图 11 安装在风洞实验段侧壁上的的(1)圆柱(航华CM2)实验模型。模型有螺纹一段穿过侧板上的圆孔,通过(2)螺母固定。模型6,5,4号测压管需在最上面,且三测压管连线需与风洞顶板平行,这样9号测压孔将正对来流。
安装模型模型后,下一步使用硅胶管连接模型测压管与电子压力扫描阀测压管。根据模型测压管编号,自上至下、自左至右将相同编号的模型测压管与扫描阀测压管相连。比如“6,5,4,8,7,3,…”,直到接完所有16个测压管。

图 12 电子压力扫描阀最左侧(1)Port 0为参考端,(2) 其他16个测压管为测量端。传感器汇报的是16个测点压强与参考端压强的差值
下面连接参考压。使用一个三通把风洞侧壁上的测压管与DAQ16数采仪内压强传感器的L端以及PSU16电子压力扫描阀的参考端Port 0连接起来,见图12,13。

图 13 一个三通把(1)风洞侧壁上的测压管与(2)DAQ16数采仪内压强传感器的L端以及(3)PSU16电子压力扫描阀的参考端Port 0连接起来。
附录D:风洞软件操作方法

电脑软件可以操作航华DAQ16数采仪。使用方法如下。
首先使用USB数据电缆连接航华DAQ16数采仪到电脑
使用测压管连接风洞收缩段前后测压孔到DAQ16数采仪压强传感器口:H接收缩段入口,L接实验段入口
将天平数据线与DAQ数采仪相连
完成上述连接后,运行桌面WindTunnel软件,进入上图界面,界面内各个功能区如下
设置数据采集卡参数,点击‘Device Name’选取卡的名称。比如“Dev1”。如果有多个采集卡,请拔掉DAQ16数采仪,观察那个名称消失,以确定DAQ16对应的设备号。选择争取设备号以后,填入压强传感器、升、阻力天平对应的采集通道好,分别是13,14,15;
填入当前室温与模型参考面积。比如,圆柱实验请输入迎风面积(直径*长度),球体输入(3.14*R^2), 翼型实验输入翼面积(展长*弦长)
输入采集数据参数,包括:采样组数 (每组数据将独立存储成一个数据文档);数据文件存储的位置;项目名称(数据文档名合适为:项目名称.txt)
输入参数以后,点击“刷新”,参数将存盘。当程序再次执行后,参数将自动被读取。每次修改参数后,都需要刷新,这样可保证程序使用正确参数运行
点击“归零”按钮为压强传感器与天平归零。注意,归零一定要在没有风速的情况下,归零对以上传感器非常重要(可以不经常标定,但一定要经常归零)
设定风洞功率。设定风速有两种方式:直接调节变频器旋钮,或通过调节此区域内的电子旋钮设定输出。两种模式需要在变频器上进行设定:如果设定为手动模式,仅接受手动调节。反之亦然。当设定为电脑调节以后,需将变频器输入端与DAQ16数采前面板的模拟输出AO-0端口相连。用户调节旋钮(数字对应0-100%输出功率)后点击“风洞运行”按钮。AO-0端口发送0-5V控制信号给变频器,驱动变频器在不同转速下工作
压强传感器测量的收缩段前后压差及对应的实验段速度显示在此区域
在此区域内可对压强传感器及升阻力天平进行标定。首先对相应传感器加载已知大小的载荷,点击相应“标定”按钮以后,系统提示输入管理员口令(口令为数字“999”)。输入后,系统读取传感器输出电压,并计算相应敏感度。对升阻力天平的标定可采用两种方法:1 使用砝码、张线直接加载力,或 2 使用一个标准的对称翼型,并设定迎角(利用手册给出的相应升阻力)直接对传感器进行标定。
点击右上角“开始测量”,进行测量。“工作状态”显示灯亮,3区“当前组数”显示当前的组数,当当前组数等于设定的“采样组数”时,系统停止采集工作。“工作状态”显示灯关闭。
另外,左上角
分别对应着“运行”,“连续运行”,“停止”,“暂停”操作
数据储存

每组数据的统计结果被记录在3区指定的目录及文件名(项目名)。每行代表一个数据组的结果,每行8个数字,分别代表
收缩段前后压差,Pa
Re 雷诺数
风速, m/s
温度,摄氏度
升力系数
阻力系数
升力,N
阻力,N
如果用户不修改“项目名”,数据会持续添加进该项目名对应的数据文件。
附录E 电子压力扫描阀软件使用指南
PSU16电子压力扫描阀使用方法如下:首先当点击运行应用程序后,程序进入初始界面。截面左上角三个按钮自左至右分别是:
运行、
连续运行、
停止按钮。当程序中断后,用户可安“运行”按钮重新运行程序。运行过程中,也可以按“停止”按钮中断程序。

图 14 扫描阀应用程序及归零功能区
初始界面包括4个功能区,分别是
设置参数(屏幕左侧)
命令按钮(右上方)
每组数据均值显示区(中部)
所有采集数据显示区(下部)
每步骤具体操作方法如下(编号对应图5编号):
设置“采集卡设备编号”,点击右侧下拉标识符,显示系统现有采集设备编号,从中进行选择
选择输出通道,使用英文“-”或者“,”来描述通道,语法为”1-16”, “2,3,4-14”, “1-4, 7-16”。系统会采集所有通道,但仅保存用户指定通道的数据
指定采样数据组数,系统将根据组数重复实验,每个数据组独立保存为一个单独的文本文件。比如,如果组数为100。系统将重复100次实验,保存100个数据文件
在每个数据文件中,系统将保存“每组采样数”指定的样本数(每个通道)。该数据文件有N*M个样本组成,其中N为“每组采样数”,M为用户指定的通道个数。“采样率(样本/秒)”为采集速率。如果“每组样本数”为200样本/组,而“采样率”为100样本/秒,那么采用每组数据需要的时间为 200/100=2秒/组。如果用户指定采样组数为10,那么总采集时间为2秒/组*10组=20秒
项目名称。用户指定项目名称之后,采集数据被存储时文件名将以项目名开头。用户指定的“数据目录下”会出现“项目名_数字.txt”文档。数字代表对应的组数,见下图。

“序列号”:在扫描阀标签上找到该设备相应的出厂编号,通常为6位数字。系统再次启动时会根据序列号读取相应标定文件
设置好以上参数后,点击“刷新”按钮,系统将参数存盘。当系统再次启动时会自动读取这些参数。每次更改任何参数设置后,都建议点击“刷新”,更新系统参数
归零:测量以前请在无风状态下进行归零。因压差传感器的 零点(无压差情况下的输出电压)会收到温度、大气压等参数的影响出现微小变化。所以系统强迫用户每3个小时进行一次归零操作。归零须在无风条件下进行,用户点击“归零”按钮后系统完成归零,并自动记录零点电压
标定:如果用户具备标定条件,并希望重新标定,可点击“标定”按钮进行标定。具体操作见2.2节
采集:用户点击“采集”按钮开始采集数据。
采集过程中,工作状态灯亮。
“进程”将汇报目前的采集组数及目前组数占总采集组数的百分比。当目前组数等于总组数后,采集结婚时速,工作状态灯灭
采集过程中每组的所有数据将实时显示在此区域,左边为数据表格,右边为数据曲线
每组数据的均值将显示在此区域
附录F. 实验报告要求及数据表格:
圆柱直径:0.03m;
风机输出: ;风速: m/s; 温度 °C | 风机输出: ;风速: m/s; 温度 °C | ||||||
测点 | 角度,° | 压强,Pa | Cp | 测点 | 角度,° | 压强,Pa | Cp |
1 | -192 | 1 | -192 | ||||
2 | -168 | 2 | -168 | ||||
3 | -144 | 3 | -144 | ||||
4 | -120 | 4 | -120 | ||||
5 | -96 | 5 | -96 | ||||
6 | -72 | 6 | -72 | ||||
7 | -48 | 7 | -48 | ||||
8 | -24 | 8 | -24 | ||||
9 | 0 | 9 | 0 | ||||
10 | 24 | 10 | 24 | ||||
11 | 48 | 11 | 48 | ||||
12 | 72 | 12 | 72 | ||||
13 | 96 | 13 | 96 | ||||
14 | 120 | 14 | 120 | ||||
15 | 144 | 15 | 144 | ||||
16 | 168 | 16 | 168 |
圆柱直径:0.03m;
风机输出: ;风速: m/s; 温度 °C | 风机输出: ;风速: m/s; 温度 °C | ||||||
测点 | 角度,° | 压强,Pa | Cp | 测点 | 角度,° | 压强,Pa | Cp |
1 | -192 | 1 | -192 | ||||
2 | -168 | 2 | -168 | ||||
3 | -144 | 3 | -144 | ||||
4 | -120 | 4 | -120 | ||||
5 | -96 | 5 | -96 | ||||
6 | -72 | 6 | -72 | ||||
7 | -48 | 7 | -48 | ||||
8 | -24 | 8 | -24 | ||||
9 | 0 | 9 | 0 | ||||
10 | 24 | 10 | 24 | ||||
11 | 48 | 11 | 48 | ||||
12 | 72 | 12 | 72 | ||||
13 | 96 | 13 | 96 | ||||
14 | 120 | 14 | 120 | ||||
15 | 144 | 15 | 144 | ||||
16 | 168 | 16 | 168 |