《空气动力学实验》
B1翼型升、阻力测量
1 实验内容与目的:
学习测力天平的标定、使用方法
测量NACA0018翼型升、阻力与迎角和雷诺数的关系
2原理:
见所附PDF文件
3 实验仪器:
本次实验使用的主要设备包括:
WT03实验风洞
航华WT03风洞是专门为空气动力学、流体力学实验课程设计的小型桌面风洞。风洞为直流闭口式(埃菲尔式)。入口设钟型收口、整流蜂窝、两层整流网(见图1)。收缩段收缩面积比4:1。实验段两侧壁可开启,方便使用。WT03风洞湍流度低、稳定性好,不仅可以满足低速空气动力学、流体力学教学需求,可用于圆柱扰流、背向台阶、烟线流场显示、PIV流场测量、翼型升阻力测量、飞行器模型动稳定测试等试验。
DAQ16数据采集仪
航华DAQ16数据采集仪把传感器输出的电压信号转换成计算机可记录的数字信号(见附录B)。该系列数采仪集高精度(16位测量精度)、高采样频率(250kS/s)、良好可扩展性(支持外部触发,可实现多个采集仪同步测量)等特点于一身。支持多种编程软件(Labview, Matlab, Python等),可与航华系列仪器形成可靠搭配。DAQ系列采集设备内置高精度压强传感器(±2.1kPa量程,精度±2.0Pa),可直接配合航华WT系列风洞或毕托管测量风速。
FB02升、阻力天平及模型
航华FB02测力天平是专门针对空气动力学实验加教学设计的二分量(升、阻力)盒式测力天平(见附录B)。具有测量稳定、精度合理、重复性好等特点。手动调节迎角,迎角范围-15度到15度之间,定位精度±0.5度。FB02可以用于测量翼型升阻力,圆柱、方柱模型气动力,以及汽车、飞机等模型的阻力。 翼型模型AM1 (展向长度s=245mm,弦长c=100cm)

图 1 安装在风洞实验段内的FB02升、阻力天平与NACA0018(航华AM1)实验模型: 1实验段;2实验模型;3 天平;4 扩散段; 5 收缩段
4 准备工作
准备工作包括如下几个关键步骤:
a 测压管
将压力传感器两端连接在风洞收缩段两侧的测压管上;收缩段前的测压管为高压,连接在压力传感器(H)接口,收缩段后的测压管为低压,接(L)接口(见附录B );
b 电源
连接风洞变频器电源;连接DAQ16数采仪电源线,打开数采仪开关。
c 数据线
连接DAQ16数采仪数据线(TypeC-USB)到电脑USB插口(见附录B)。连接后,检查电脑“设备管理器”下是否正确出现“NI Data Acquisition Devices”。点击“NI Data Acquisition Devices”后,是否正确出现“USB-6210”(见附录B)
d 将航华TS02温度传感器连入DAQ16数采仪背板温度传感器插孔(见附录B)
e 使用数据线连接FB02天平与DAQ16数采仪背板天平插孔(见附录B)
f 设置变频器
参照附录A设置变频器。其中P003参数为2
e 运行计算机软件
参照附录D运行风洞控制软件。
f 标定天平
请参照附录E对天平进行标定。上次标定以后,如果无大幅度环境温度变化、无拆装、无撞击等,可不必再标定。
5 实验过程:
记录风洞收缩段前后尺寸、实验段尺寸、模型直径;
收缩段前尺寸:50cm × 50cm
收缩段后尺寸:25cm × 25cm
模型弦长:100mm
模型展长:245mm
接入风洞电源,设置变频器至“自动”模式(参照附录A)
运行风洞控制软件
安装翼型模型, 参照附录C模型安装方法
在计算机软件上为传感器归零,请确保此时风洞没有运行
软件设置采集组数至10(或者根据需求设置其他数字);
软件设置风洞输出功率至0.3 (运行功率为最大功率的30%),点击“运行风洞”按钮,风洞开始运行;
当风速稳定后,点击“开始采集”,软件采集10组数据(包括收缩段前后压差、模型升、阻力,本次实验使用球模型,升力约为0),并逐一输出均值;
依次调节功率至0.5,0.7, 0.9。重复步骤5,6
根据收缩段面积比(本次实验为4:1)和收缩段前后压差,利用伯努利方程计算流速,雷诺数;
参照附录F附Matlab程序计算升力、阻力系数
绘制雷诺数vs升力、雷诺数vs阻力系数曲线
绘制若干雷诺数下迎角vs升力、迎角vs阻力系数曲线
6. 实验数据
NACA0018翼型;迎角;风机输出:0.3
压差,Pa | 风速,m/s | 温度,C | C_l | C_d | L, N | D, N | |
1 | 18.983 | 5.861 | 27.613 | -0.064 | 0.012 | -0.03 | 0.006 |
2 | 18.887 | 5.846 | 27.609 | -0.068 | 0.013 | -0.031 | 0.006 |
3 | 19.102 | 5.879 | 27.613 | -0.066 | 0.013 | -0.031 | 0.006 |
4 | 19.011 | 5.865 | 27.61 | -0.062 | 0.013 | -0.029 | 0.006 |
5 | 18.898 | 5.847 | 27.61 | -0.064 | 0.013 | -0.03 | 0.006 |
6 | 18.855 | 5.841 | 27.612 | -0.064 | 0.012 | -0.029 | 0.006 |
7 | 18.894 | 5.847 | 27.61 | -0.061 | 0.013 | -0.028 | 0.006 |
8 | 18.619 | 5.804 | 27.607 | -0.06 | 0.013 | -0.028 | 0.006 |
9 | 18.836 | 5.838 | 27.613 | -0.059 | 0.012 | -0.027 | 0.006 |
10 | 18.905 | 5.848 | 27.61 | -0.058 | 0.012 | -0.027 | 0.005 |
NACA0018翼型;迎角;风机输出:0.5
压差,Pa | 风速,m/s | 温度,C | C_l | C_d | L, N | D, N | |
1 | 55.75 | 10.043 | 27.61 | -0.003 | 0.005 | -0.004 | 0.007 |
2 | 56.191 | 10.083 | 27.612 | -0.003 | 0.004 | -0.004 | 0.006 |
3 | 55.74 | 10.042 | 27.61 | -0.002 | 0.005 | -0.003 | 0.006 |
4 | 56.641 | 10.123 | 27.612 | -0.003 | 0.005 | -0.005 | 0.007 |
5 | 56.509 | 10.111 | 27.611 | -0.001 | 0.005 | -0.002 | 0.006 |
6 | 56.186 | 10.083 | 27.614 | -0.002 | 0.005 | -0.003 | 0.006 |
7 | 57.039 | 10.159 | 27.616 | -0.002 | 0.005 | -0.003 | 0.006 |
8 | 56.233 | 10.087 | 27.652 | -0.001 | 0.005 | -0.002 | 0.006 |
9 | 55.565 | 10.027 | 27.665 | -0.001 | 0.005 | -0.001 | 0.006 |
10 | 55.847 | 10.052 | 27.641 | -0.003 | 0.005 | -0.003 | 0.007 |
NACA0018翼型;迎角;风机输出:0.7
压差,Pa | 风速,m/s | 温度,C | C_l | C_d | L, N | D, N | |
1 | 110.771 | 14.157 | 27.638 | 0.005 | 0.001 | 0.015 | 0.002 |
2 | 108.807 | 14.031 | 27.639 | 0.007 | 0.001 | 0.018 | 0.002 |
3 | 109.854 | 14.099 | 27.643 | 0.006 | 0.001 | 0.016 | 0.002 |
4 | 109.998 | 14.108 | 27.638 | 0.007 | 0 | 0.018 | 0.001 |
5 | 110.324 | 14.129 | 27.638 | 0.005 | 0 | 0.015 | 0.001 |
6 | 109.941 | 14.104 | 27.641 | 0.006 | 0 | 0.016 | 0.001 |
7 | 111.083 | 14.177 | 27.64 | 0.005 | 0 | 0.015 | 0.001 |
8 | 110.324 | 14.129 | 27.64 | 0.008 | 0.001 | 0.02 | 0.001 |
9 | 110.418 | 14.134 | 27.622 | 0.007 | 0 | 0.019 | 0.001 |
10 | 110.139 | 14.116 | 27.611 | 0.007 | 0.001 | 0.018 | 0.002 |
NACA0018翼型;迎角;风机输出:0.3
压差,Pa | 风速,m/s | 温度,C | C_l | C_d | L, N | D, N | |
1 | 19.089 | 5.876 | 27.493 | 0.669 | 0.013 | 0.313 | 0.006 |
2 | 18.997 | 5.861 | 27.492 | 0.671 | 0.013 | 0.312 | 0.006 |
3 | 19.131 | 5.882 | 27.493 | 0.669 | 0.013 | 0.314 | 0.006 |
4 | 19.128 | 5.882 | 27.491 | 0.669 | 0.013 | 0.314 | 0.006 |
5 | 19.08 | 5.874 | 27.49 | 0.668 | 0.013 | 0.312 | 0.006 |
6 | 19.165 | 5.887 | 27.49 | 0.666 | 0.013 | 0.313 | 0.006 |
7 | 19.129 | 5.882 | 27.494 | 0.673 | 0.012 | 0.316 | 0.006 |
8 | 19.063 | 5.872 | 27.489 | 0.67 | 0.012 | 0.313 | 0.006 |
9 | 19.067 | 5.872 | 27.489 | 0.672 | 0.013 | 0.314 | 0.006 |
10 | 18.96 | 5.856 | 27.488 | 0.668 | 0.012 | 0.31 | 0.006 |
NACA0018翼型;迎角;风机输出:0.5
压差,Pa | 风速,m/s | 温度,C | C_l | C_d | L, N | D, N | |
1 | 57.564 | 10.203 | 27.488 | 0.577 | 0.007 | 0.813 | 0.01 |
2 | 57.099 | 10.162 | 27.494 | 0.574 | 0.007 | 0.803 | 0.01 |
3 | 57.101 | 10.162 | 27.49 | 0.573 | 0.007 | 0.802 | 0.01 |
4 | 57.106 | 10.163 | 27.488 | 0.574 | 0.007 | 0.803 | 0.01 |
5 | 56.932 | 10.147 | 27.489 | 0.576 | 0.007 | 0.804 | 0.009 |
6 | 57.322 | 10.182 | 27.492 | 0.575 | 0.007 | 0.807 | 0.01 |
7 | 57.024 | 10.155 | 27.492 | 0.573 | 0.007 | 0.801 | 0.01 |
8 | 56.967 | 10.15 | 27.494 | 0.574 | 0.007 | 0.802 | 0.01 |
9 | 56.187 | 10.08 | 27.49 | 0.573 | 0.007 | 0.789 | 0.009 |
10 | 56.21 | 10.083 | 27.491 | 0.575 | 0.007 | 0.792 | 0.009 |
NACA0018翼型;迎角;风机输出:0.7
压差,Pa | 风速,m/s | 温度,C | C_l | C_d | L, N | D, N | |
1 | 112.207 | 14.247 | 27.554 | 0.674 | 0.009 | 1.852 | 0.024 |
2 | 111.896 | 14.228 | 27.58 | 0.674 | 0.009 | 1.847 | 0.024 |
3 | 110.852 | 14.161 | 27.585 | 0.676 | 0.009 | 1.835 | 0.023 |
4 | 109.453 | 14.072 | 27.58 | 0.673 | 0.008 | 1.804 | 0.023 |
5 | 109.803 | 14.094 | 27.584 | 0.676 | 0.008 | 1.82 | 0.023 |
6 | 109.742 | 14.09 | 27.584 | 0.676 | 0.009 | 1.817 | 0.023 |
7 | 110.126 | 14.115 | 27.581 | 0.676 | 0.008 | 1.825 | 0.023 |
8 | 111.126 | 14.179 | 27.583 | 0.677 | 0.009 | 1.842 | 0.023 |
9 | 111.538 | 14.205 | 27.582 | 0.675 | 0.009 | 1.844 | 0.024 |
10 | 111.604 | 14.209 | 27.583 | 0.671 | 0.009 | 1.834 | 0.024 |
NACA0018翼型;迎角;风机输出:0.3
压差,Pa | 风速,m/s | 温度,C | C_l | C_d | L, N | D, N | |
1 | 18.207 | 5.739 | 27.542 | 0.615 | 0.074 | 0.274 | 0.033 |
2 | 18.461 | 5.779 | 27.522 | 0.599 | 0.076 | 0.271 | 0.034 |
3 | 18.663 | 5.81 | 27.521 | 0.578 | 0.077 | 0.264 | 0.035 |
4 | 19.04 | 5.868 | 27.516 | 0.619 | 0.074 | 0.289 | 0.034 |
5 | 18.742 | 5.822 | 27.521 | 0.594 | 0.076 | 0.273 | 0.035 |
6 | 18.456 | 5.778 | 27.521 | 0.6 | 0.075 | 0.271 | 0.034 |
7 | 18.478 | 5.781 | 27.518 | 0.613 | 0.075 | 0.277 | 0.034 |
8 | 18.442 | 5.775 | 27.519 | 0.596 | 0.074 | 0.269 | 0.033 |
9 | 18.459 | 5.778 | 27.52 | 0.599 | 0.075 | 0.271 | 0.034 |
10 | 18.387 | 5.767 | 27.523 | 0.607 | 0.074 | 0.273 | 0.034 |
NACA0018翼型;迎角;风机输出:0.5
压差,Pa | 风速,m/s | 温度,C | C_l | C_d | L, N | D, N | |
1 | 56.503 | 10.109 | 27.521 | 0.986 | 0.03 | 1.365 | 0.042 |
2 | 56.801 | 10.136 | 27.521 | 0.983 | 0.03 | 1.368 | 0.042 |
3 | 57.267 | 10.177 | 27.519 | 0.989 | 0.03 | 1.388 | 0.043 |
4 | 57 | 10.154 | 27.52 | 0.987 | 0.03 | 1.379 | 0.042 |
5 | 57.022 | 10.156 | 27.518 | 0.987 | 0.031 | 1.379 | 0.043 |
6 | 57.295 | 10.18 | 27.519 | 0.99 | 0.03 | 1.389 | 0.042 |
7 | 56.853 | 10.141 | 27.52 | 0.99 | 0.03 | 1.378 | 0.042 |
8 | 56.881 | 10.143 | 27.498 | 0.991 | 0.03 | 1.381 | 0.042 |
9 | 57.375 | 10.187 | 27.491 | 0.992 | 0.03 | 1.395 | 0.043 |
10 | 57.106 | 10.163 | 27.489 | 0.99 | 0.03 | 1.386 | 0.042 |
NACA0018翼型;迎角;风机输出:0.7
压差,Pa | 风速,m/s | 温度,C | C_l | C_d | L, N | D, N | |
1 | 112.421 | 14.26 | 27.526 | 1.172 | 0.031 | 3.228 | 0.086 |
2 | 112.101 | 14.24 | 27.555 | 1.173 | 0.031 | 3.221 | 0.086 |
3 | 112.114 | 14.241 | 27.554 | 1.171 | 0.031 | 3.216 | 0.086 |
4 | 112.581 | 14.271 | 27.552 | 1.171 | 0.031 | 3.229 | 0.087 |
5 | 112.453 | 14.262 | 27.552 | 1.17 | 0.031 | 3.223 | 0.086 |
6 | 112.013 | 14.235 | 27.555 | 1.174 | 0.031 | 3.221 | 0.086 |
7 | 111.752 | 14.218 | 27.553 | 1.174 | 0.031 | 3.213 | 0.086 |
8 | 111.878 | 14.226 | 27.555 | 1.172 | 0.031 | 3.212 | 0.086 |
9 | 112.145 | 14.243 | 27.554 | 1.175 | 0.031 | 3.229 | 0.086 |
10 | 112.33 | 14.255 | 27.555 | 1.176 | 0.031 | 3.235 | 0.086 |
附录A:变频器设置方法
将插头插入220V插座内。风机最大电流10A,插座需要接地,以免漏电。推荐使用带开关插座。

附录B数采仪的安装
图 2 航华DAQ16数采仪照片


图 3 DAQ16数采仪内置压强传感器连接图片

图 4 DAQ16数采仪背板及1数据线、2温度传感器、3天平插口照片

图 5 正确安装DAQmx驱动后,DAQ16数采仪设备显示在设备管理器中
附录C模型安装方法

图 6 AM1翼型模型的安装方法
AM1翼型模型的安装方法如下:
将图9零件a(锥形套筒)从天平中取出(需先将天平下方固定用螺栓取下,见图10左侧,然后向上拔出)。本次实验是低速实验,锥形套筒周围的摩擦力足够大,套筒不会转动,所以不需要使用天平固定螺栓
将零件b(模型支杆)顺时针旋转拧入锥形套筒内部,至上表面齐平
将零件c(球模型)顺时针旋转拧入支杆顶部。注意,拧至不转即可,不要使劲。
将组装好的零件a-c放入天平,轻轻旋转,调整方向。然后,轻轻下压。注意,使劲掰或者击打天平有可能损坏力传感器
附录D:软件操作方法

电脑软件可以操作航华DAQ16数采仪。使用方法如下。
首先使用USB数据电缆连接航华DAQ16数采仪到电脑
使用测压管连接风洞收缩段前后测压孔到DAQ16数采仪压强传感器口:H接收缩段入口,L接实验段入口
将天平数据线与DAQ数采仪相连
完成上述连接后,运行桌面WindTunnel软件,进入上图界面,界面内各个功能区如下
设置数据采集卡参数,点击‘Device Name’选取卡的名称。比如“Dev1”。如果有多个采集卡,请拔掉DAQ16数采仪,观察那个名称消失,以确定DAQ16对应的设备号。选择争取设备号以后,填入压强传感器、升、阻力天平对应的采集通道好,分别是13,14,15;
填入当前室温与模型参考面积。比如,圆柱实验请输入迎风面积(直径*长度),球体输入(3.14*R^2), 翼型实验输入翼面积(展长*弦长)
输入采集数据参数,包括:采样组数 (每组数据将独立存储成一个数据文档);数据文件存储的位置;项目名称(数据文档名合适为:项目名称.txt)
输入参数以后,点击“刷新”,参数将存盘。当程序再次执行后,参数将自动被读取。每次修改参数后,都需要刷新,这样可保证程序使用正确参数运行
点击“归零”按钮为压强传感器与天平归零。注意,归零一定要在没有风速的情况下,归零对以上传感器非常重要(可以不经常标定,但一定要经常归零)
设定风洞功率。设定风速有两种方式:直接调节变频器旋钮,或通过调节此区域内的电子旋钮设定输出。两种模式需要在变频器上进行设定:如果设定为手动模式,仅接受手动调节。反之亦然。当设定为电脑调节以后,需将变频器输入端与DAQ16数采前面板的模拟输出AO-0端口相连。用户调节旋钮(数字对应0-100%输出功率)后点击“风洞运行”按钮。AO-0端口发送0-5V控制信号给变频器,驱动变频器在不同转速下工作
压强传感器测量的收缩段前后压差及对应的实验段速度显示在此区域
在此区域内可对压强传感器及升阻力天平进行标定。首先对相应传感器加载已知大小的载荷,点击相应“标定”按钮以后,系统提示输入管理员口令(口令为数字“999”)。输入后,系统读取传感器输出电压,并计算相应敏感度。对升阻力天平的标定可采用两种方法:1 使用砝码、张线直接加载力,或 2 使用一个标准的对称翼型,并设定迎角(利用手册给出的相应升阻力)直接对传感器进行标定。
点击右上角“开始测量”,进行测量。“工作状态”显示灯亮,3区“当前组数”显示当前的组数,当当前组数等于设定的“采样组数”时,系统停止采集工作。“工作状态”显示灯关闭。
另外,左上角
分别对应着“运行”,“连续运行”,“停止”,“暂停”操作
数据储存

每组数据的统计结果被记录在3区指定的目录及文件名(项目名)。每行代表一个数据组的结果,每行8个数字,分别代表
收缩段前后压差,Pa
Re 雷诺数
风速, m/s
温度,摄氏度
升力系数
阻力系数
升力,N
阻力,N
如果用户不修改“项目名”,数据会持续添加进该项目名对应的数据文件。
附录E 标定天平
我们建议使用如下两种方法进行标定
A 安装翼型模型后,使用20g砝码沿流向拉动翼型,在软件“阻力加载”栏内输入0.196N,并点击“标定阻力传感器”。管理员密码为“999”。使用100g砝码沿垂直方向拉动翼型,在软件“升力加载”栏内输入0.98N,并点击“标定升力传感器”。
B 使用一支NACA0018翼型,将其安置在10度迎角,并在Re约为66,000条件下(U=10m/s, c=0.1m)测量升阻力,对天平进行标定。根据XFOIL软件计算, NACA0018翼型在10度迎角条件下升力系数Cl=1.03,阻力系数Cd=0.04。具体标定过程如下:

图 7 XFOIL软件给出的Re=66000,迎角10度条件下NACA 的升阻力系数
安装翼型模型,基本流程与本文附录E相似。取出锥形套筒、通过螺纹将模型拧入套筒、将套筒放入天平、调整角度至10度、轻轻按套筒,保证套筒落位。
运行软件,具体见本文附录B
在软件上点击“传感器归零”,此时风洞需停止运转。归零结束后,进入下一步
“风机输出功率”设为0.5,点击“运行风洞”按钮
右下方“已知升力系数”填入1.03,“已知阻力系数”填入0.04。点击“标定升阻力”,输入管理员密码“999”。标定完成
附录F:分析程序及结果
c=0.1; %m
span=0.245; %m
A=c*span;
sys_err_d=0.5/100; %balance, system error, less than 0.005N
sys_err_l=5/100; %balance, system error, less than 0.005N
dir=[0:5:10]
mycolor=['brk'];
alpha=[0:5:10];
H=.25; % m
AOA=[-10:2:14];
for k=2:10
j=0;
for aoa=-10:2:14
j=j+1;
fname=['Airfoil' num2str(aoa) 'Deg_' num2str(k) '.txt'];
data=load(fname);
mean_val=mean(data);
%Delta P; Re; U; T; Cl; Cd; L; D
std_val=std(data);
U=mean_val(3);
U=U*H/(H-c*abs(sin(d2r(aoa))));
T=mean_val(4);
Re(j,k)=U*c/nu(T);
Cd(j,k)=mean_val(6);
std_Cd(j,k)=std_val(6);
%rand_err_d=std_Cd(j,k)*2; % randon error in Cd
%sys_err_d2=sys_err_d/(0.5*air_den(T)*U^2)/A; %system error in Cd
%err_d(j,k)=sqrt(sys_err_d2.^2+rand_err_d.^2);
Cl(j,k)=mean_val(5);
std_Cl(j,k)=std_val(5);
%rand_err_l=std_Cd(j,k)*2; % randon error in Cl
%sys_err_l2=sys_err_l/(0.5*air_den(T)*U^2)/A;%system error in Cl
%err_l(j,k)=sqrt(sys_err_l2.^2+rand_err_l.^2);
end %aoa
end
figure, plot(AOA, Cl(:,3:end),'o-');grid on;hold on;
yy=d2r(AOA)*6.28;
plot(AOA,yy,'-r')
xlabel('\alpha, Deg.')
ylabel('C_l')
%title(['Re=' num2str(Re(3))])
legend(['Re=' num2str(Re(3,3),6)],['Re=' num2str(Re(3,4),6)],['Re=' num2str(Re(3,5),6)],['Re=' num2str(Re(3,6),6)],['Re=' num2str(Re(3,7),6)],['Re=' num2str(Re(3,8),6)],['Re=' num2str(Re(3,9),6)],['Re=' num2str(Re(3,10),6)],'Theory, C_l=2\pi\alpha','Location','Northwest')
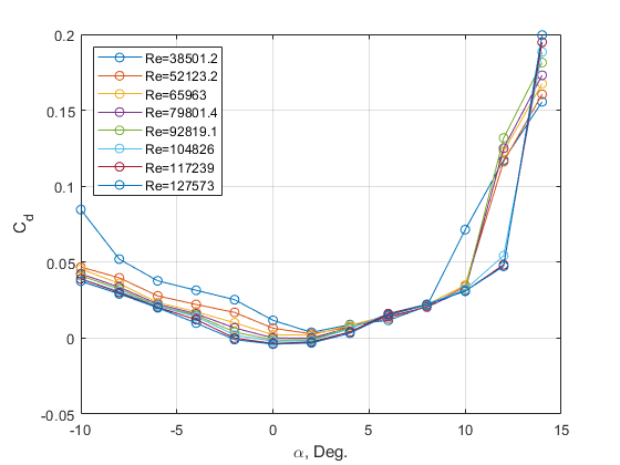
figure, plot(AOA, Cd(:,3:end),'o-');grid on;hold on;
xlabel('\alpha, Deg.')
ylabel('C_d')
legend(['Re=' num2str(Re(3,3),6)],['Re=' num2str(Re(3,4),6)],['Re=' num2str(Re(3,5),6)],['Re=' num2str(Re(3,6),6)],['Re=' num2str(Re(3,7),6)],['Re=' num2str(Re(3,8),6)],['Re=' num2str(Re(3,9),6)],['Re=' num2str(Re(3,10),6)],'Theory, C_l=2\pi\alpha','Location','Northwest')

图 8 三个不同迎角状态下,升力系数随雷诺数变化图

图 9 三个不同迎角状态下,阻力系数随雷诺数变化图
附录G 数据表格:
实验报告要求包括实验设备介绍、实验过程描述、实验数据处理、实验结果图标及讨论等。
NACA0018翼型 | 环境温度: | ||||
编号 | 压差,Pa | 来流速度m/s | 迎角(°) | 升力 (N) | 阻力(N) |
1 | |||||
2 | |||||
3 | |||||
4 | |||||
5 | |||||
6 | |||||
7 | |||||
8 | |||||
9 | |||||
10 | |||||
11 | |||||
12 | |||||
13 | |||||
14 | |||||
15 |
NACA0018翼型 | 环境温度: | ||||
编号 | 压差,Pa | 来流速度m/s | 迎角(°) | 升力 (N) | 阻力(N) |
1 | |||||
2 | |||||
3 | |||||
4 | |||||
5 | |||||
6 | |||||
7 | |||||
8 | |||||
9 | |||||
10 | |||||
11 | |||||
12 | |||||
13 | |||||
14 | |||||
15 |